• Предмет: Математика
  • Автор: gazizzheksenbai
  • Вопрос задан 3 года назад

помагите пж 758,759
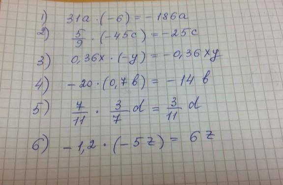
1)31а×(-6)
2) 5/9×(-45с)
3)0,36x×(-y)
4)-20×(0,7b)
5)7/11×(3/7d)
6)-1,2×(-5z)
759
1)6x×(-10y)
2)-3,4a×(80b)
3)71/12c×15/7d
4)2,7mn×(21/9t)
5)-1,1(50a-c)
6) (23,5x-1/6y)×(-6)​

Приложения:

Ответы

Ответ дал: kadrashevazh
19

Ответ:

аллалелплбсьатвтчттч

Приложения:

gazizzheksenbai: спс
temchenkokatya17: можно 759
temchenkokatya17: ??!
Аноним: Спасиба (✪‿✪) (◉‿◉) (✪‿✪) (◉‿◉) (✪‿✪) (◉‿◉) (✪‿✪) (◉‿◉) (✪‿✪) (◉‿◉) (✪‿✪) (◉‿◉) (✪‿✪) (◉‿◉) (✪‿✪) (◉‿◉) (✪‿✪) (◉‿◉) (✪‿✪) (◉‿◉) (✪‿✪) (◉‿◉) (✪‿✪) (◉‿◉) (✪‿✪) (◉‿◉) (✪‿✪) (◉‿◉) (✪‿✪) (◉‿◉) (✪‿✪) (◉‿◉) (✪‿✪) (◉‿◉) (✪‿✪) (◉‿◉) (✪‿✪) (◉‿◉) (✪‿✪) (◉‿◉) (✪‿✪) (◉‿◉) (✪‿✪) (◉‿◉) (✪‿✪) (◉‿◉) (◉‿◉) (◉‿◉) (✪‿✪) (◉‿◉) (◉‿◉) (✪‿✪)
zarinahitakova57: можно номер 759пж
Вас заинтересует