Ответы
Ответ дал:
19
Ответ:
На фото как решать,....
Приложения:

gaukhar1490:
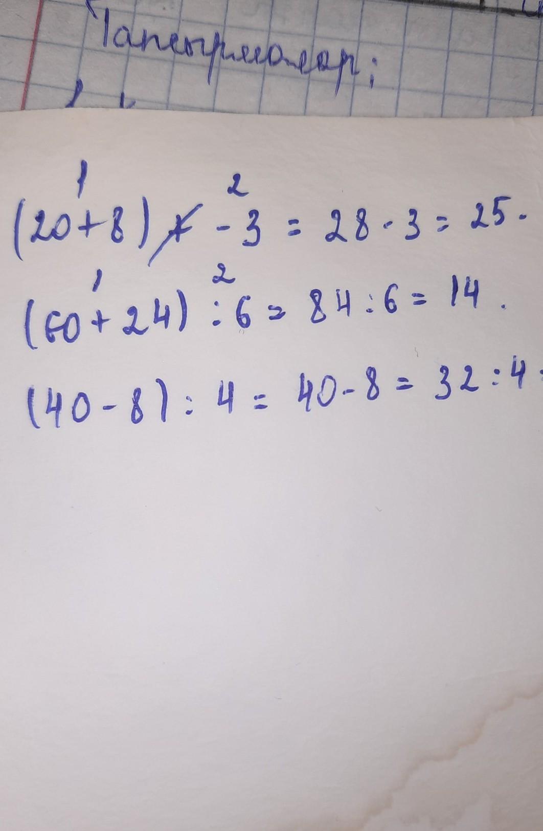
(20+8)•3=20•3+8•3=60+24=84
Вас заинтересует
2 года назад
2 года назад
2 года назад
2 года назад
7 лет назад
7 лет назад
9 лет назад
9 лет назад