• Предмет: Математика
  • Автор: evdokimovaleda
  • Вопрос задан 3 года назад

в онлайн мектеп пж ​

Приложения:

Ответы

Ответ дал: mozg2539
1

Ответ:

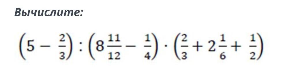
(5-2/3)/(8 11/12- 1/4)* (2/3+2 1/6 + 1/2)

4 1/3 / 8 3/4 * 1 1/3=52/105

Пошаговое объяснение:

Вас заинтересует