• Предмет: Математика
  • Автор: alinaaitanova
  • Вопрос задан 3 года назад

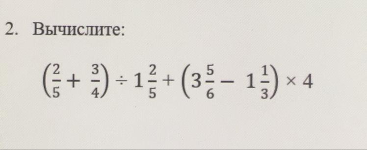
Вычислите:
Пж СОР 30 балов

Приложения:

Ответы

Ответ дал: CalicoSquash29
0

Ответ:

(25+64)/125+(3346656 - 13)*4=836661,462

Пошаговое объяснение:

Ответ дал: Ad1208
0

Ответ:

317/30=10 17/30

Пошаговое объяснение:

17/6*1/5+5/2*4

17/30+5*2

17/30+10=317/30

317/30=10 17/30

Вас заинтересует