ДАМ 20 БАЛЛОВ ПОМОГИТЕ У МЕНЯ СОР
Приложения:

ninafisenko71:
щяс я постараюсь
Ответы
Ответ дал:
0
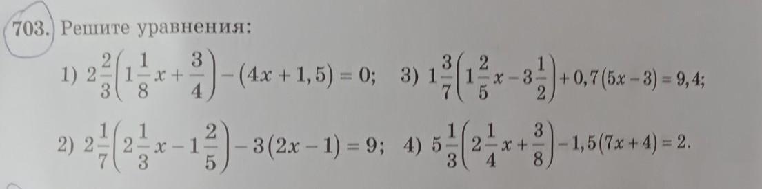
Ответ:
и там 4 продолжение
1,5х-4=2
1,5х=2+4
1,5х=6
х=6:1,5
х=4
если что вот это х это икс а не умножетель
Приложения:



Вас заинтересует
2 года назад
2 года назад
2 года назад
7 лет назад
9 лет назад
9 лет назад