• Предмет: Алгебра
  • Автор: sabyrovaasema07
  • Вопрос задан 3 года назад

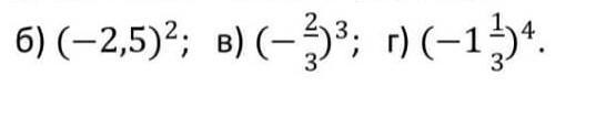
здесь нужно выполнить возвездие в степень помогите пж​

Приложения:

Ответы

Ответ дал: moskovith2003
0

Ответ:1)25/4

2)-8/27

3)256/81

Объяснение:

Ответ дал: Аноним
0

Ответ:

Объяснение:

б)

-2,5*   -2,5=6,25;

в)

(-2/3)³= - 8/27.

г)

(-  4/3)⁴=256/81

Вас заинтересует