• Предмет: Математика
  • Автор: Аноним
  • Вопрос задан 3 года назад


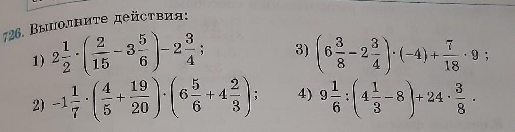
Всё изображено на фото. Даю 25 баллов​

Приложения:

Аноним: ВСе 4 задания?
Аноним: это какой класс?
Аноним: 4.

Ответы

Ответ дал: Sofiapristav7
1

Ответ:

1. -12

2. -23

3. -11

4. 6 1/2

Пошаговое объяснение:

Вас заинтересует