• Предмет: Математика
  • Автор: Аноним
  • Вопрос задан 3 года назад

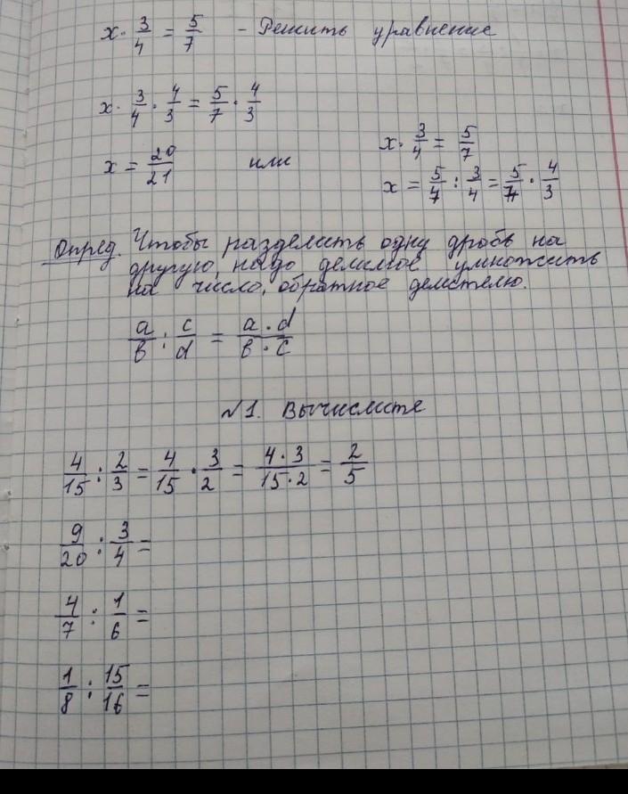
пажалуйста рещите там надо все сделать​

Приложения:

tazzik1337: 3 нижних примера решить?

Ответы

Ответ дал: k0sty999
1

Ответ: ответ в файле (

мне просто надо было то то написать)

Приложения:

Аноним: блин я тоже решила но не успела выгрузить двай хотябы спасибо)))))))))))))
Аноним: все
Аноним: спасибо)))))
Вас заинтересует