Срочно!!!!!!!!! Помогите!!! Алгебра 8 класс!!!Даю 30 баллов!!!
Найдите значение выражения:
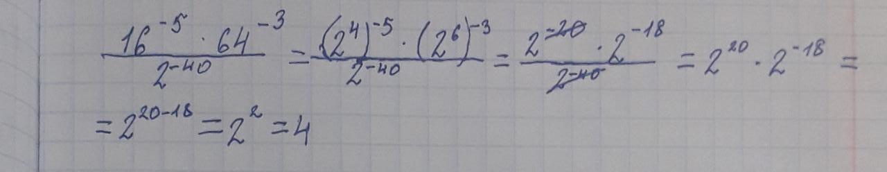
16^-5*64^-3
------------------
2^-40
Ответы
Ответ дал:
0
На фото подробное решение
Приложения:

mikasaerenarmin:
извини, не то случайно прикрепила. Сейчас исправлю
Вас заинтересует
2 года назад
2 года назад
2 года назад
2 года назад
9 лет назад