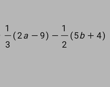
Упростите выражениеи найдите его значение при a=4 1,2,
b=4 15.
ПОМОГИТЕ ПОЖАЛУЙСТА.
Приложения:

iramazurk:
Чему равна а? И б ?
Ответы
Ответ дал:
1
Ответ:
Пошаговое объяснение:
1) 1/3 (2а - 9) = 2/3а - 9/3 = 2/3а - 3
2) 1/2 * (5b + 4) = 5/2b + 4/2 = 5/2b + 2
3) (2/3a - 3) - (5/2b + 2) =
2/3a - 3 - 5/2b - 2 =
2/3a - 5 - 5/2b
Вас заинтересует
2 года назад
2 года назад
2 года назад
7 лет назад
7 лет назад
9 лет назад