• Предмет: Математика
  • Автор: Аноним
  • Вопрос задан 3 года назад

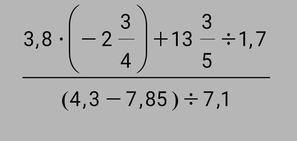
Найдите значение выражения:?
ПОМОГИТЕ ПОЖАЛУЙСТА

Приложения:

Ответы

Ответ дал: alia221208
0

49

49 правильный ответ

Вас заинтересует