Помогиле пожалуйста нужно желательно в течение часа, не трудно, баллов много. 7класс одночлены и многочлены
Приложения:

Ответы
Ответ дал:
2
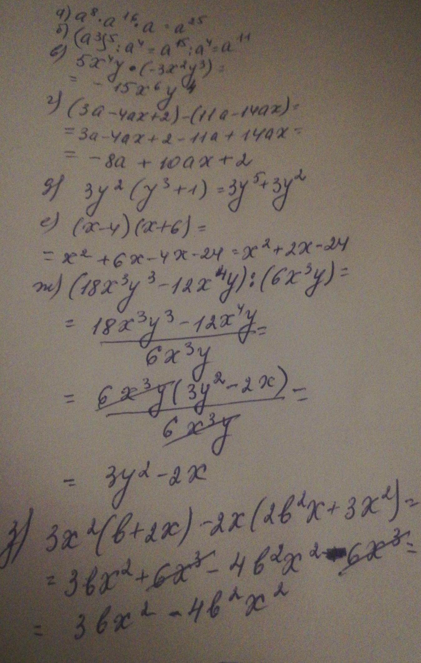
Ответ:
последную не смог
Объяснение:
пожалуста зделай лутший ответ чтоб я получил новое достижения. ;)
Приложения:


Аноним:
Помогите пожалуйста https://znanija.com/task/41369893
Ответ дал:
2
Ответ:
Смотри решение на фото
Приложения:



Вас заинтересует
2 года назад
2 года назад
2 года назад
9 лет назад