• Предмет: Математика
  • Автор: Аноним
  • Вопрос задан 3 года назад

помогите пожалуйста​

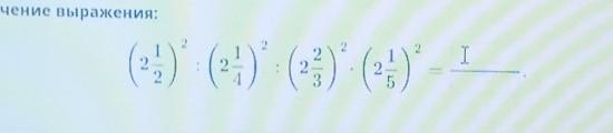
Приложения:

Ответы

Ответ дал: agaknh
0

ответ: 121/144 или (11/12) в квадрате

Вас заинтересует