• Предмет: Алгебра
  • Автор: boringcorgi
  • Вопрос задан 3 года назад

Решите уравнение. За ранее спасибо!

Приложения:

Аноним: х=1 ; х=-1

Ответы

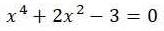
Ответ дал: neznakomkasredivas
0
t^2+2t-3=0
t=-3
t=1
x^2=-3
x^2=1
x1=-1
x2=1
Ответ дал: r0808
0
Ответ 0;0






.............
Вас заинтересует