• Предмет: Математика
  • Автор: Аноним
  • Вопрос задан 3 года назад

Помогите очень нужно пожалуйста

Приложения:

Ответы

Ответ дал: igortym777
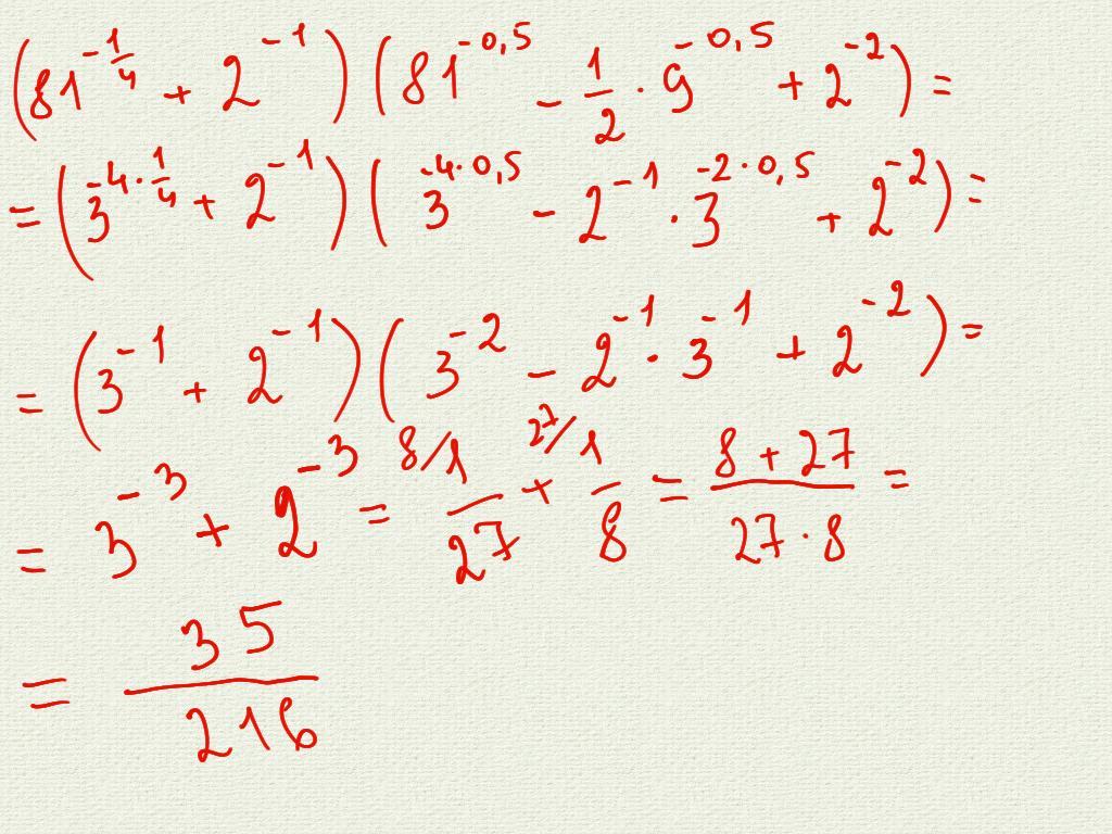
1

Відповідь:

\frac{35}{216}

Покрокове пояснення:

Приложения:
Вас заинтересует