• Предмет: Математика
  • Автор: fil7889
  • Вопрос задан 3 года назад

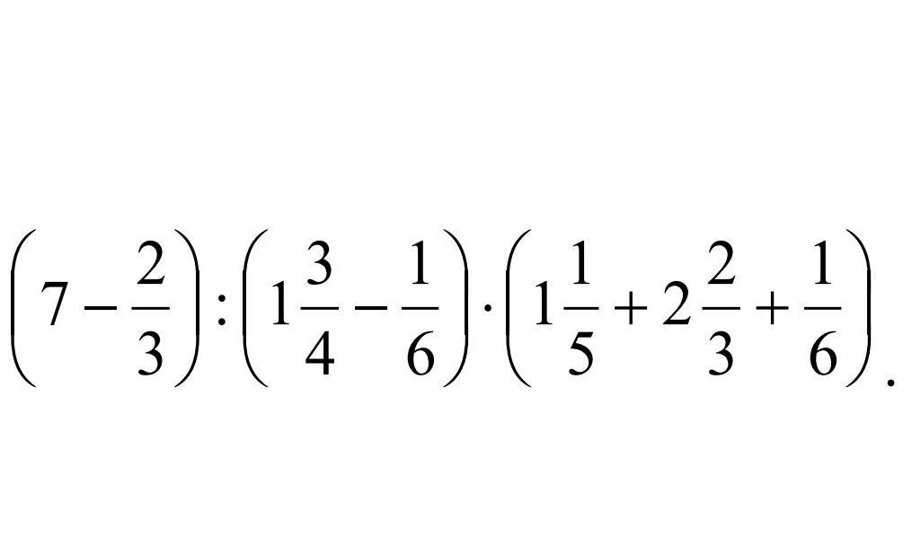
Срочно помогите с решением ПОМОГИТЕ СРОЧНО ДАЮ 15 БАЛЛОВ​

Приложения:

Ответы

Ответ дал: 23362336
0

Ответ:

Пошаговое объяснение:

Приложения:

fil7889: это точно правильно?
Аноним: это не правильно
fil7889: ну ля а что правильно за это задание 6 баллов дают
fil7889: это соч
Аноним: правильно 16⅖
Аноним: я с решением написала
Вас заинтересует