• Предмет: Математика
  • Автор: whiskaskotenok
  • Вопрос задан 3 года назад

Вынеси число из-под корня. Помогите пожалуйста...

Приложения:

Ответы

Ответ дал: dfff15
1

Ответ:

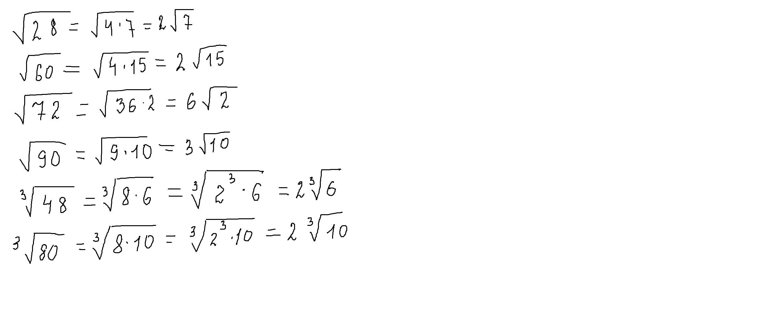
1) 2 корень из 7

2) 2 корень из 15

3) 6 корень из 2

4) 3 корень из 10

5) и 6) -ответ на фото

Приложения:
Ответ дал: parus77
1

Ответ:

Пошаговое объяснение:

решение внизу,где не понятно-спрашивай.

Приложения:
Вас заинтересует