• Предмет: Математика
  • Автор: kristinakitova00
  • Вопрос задан 3 года назад

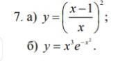
Помогите найти производную

Приложения:

Ответы

Ответ дал: Miroslava227
3

Ответ:

а)

y' = 2( \frac{x - 1}{x} ) \times  \frac{x - (x - 1)}{ {x}^{2} }  =  \\  =  \frac{2(x - 1)}{x}  \times  \frac{1}{ {x}^{2} }  =  \frac{2x - 2}{ {x}^{3} }

б)

y' = 3 {x}^{2}  {e}^{ -  {x}^{2} }  +  {e}^{ -  {x}^{2} }  \times ( - 2x) \times  {x}^{3}  =  \\  = {e}^{ -  {x}^{2} } (3 {x}^{2}  - 2 {x}^{4} )


kristinakitova00: Огромное спасибо, выручаете второй раз
zlayazaika12: погите с география
zlayazaika12: Яке особисте спорядження треба взяти, якщо в наші зимові місяці відправитися в центральну частину Бразильського плоскогір’я?    
zlayazaika12: пжж
6yTep6pog: Я заметила, что вы хорошо разбераетесь по алгебре поэтому я бы хотела попросить вас о помощи!
Вас заинтересует