Ответы
Ответ дал:
1
Ответ:
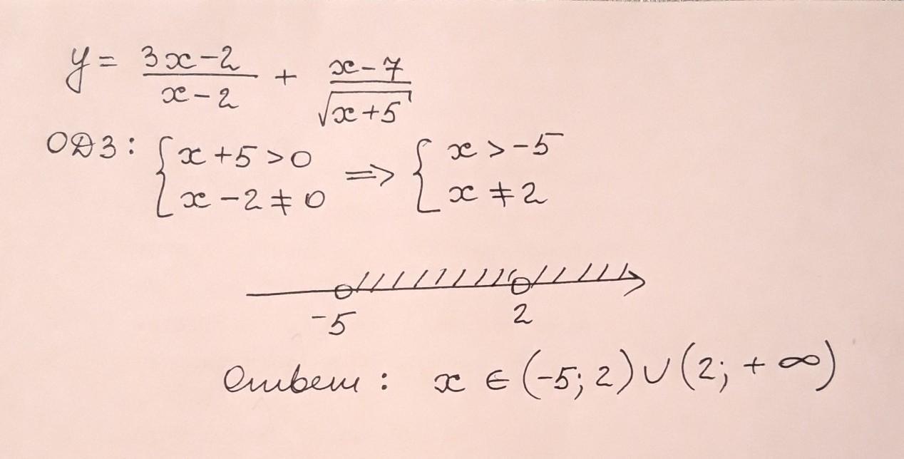
х€(-5;2)U(2; +oo).
Найти ОДЗ.
Приложения:

Аноним:
Здравствуйте! Вы не могли бы вы мне помочь завтра с алгеброй пожалуйста.
Вас заинтересует
2 года назад
2 года назад
2 года назад
7 лет назад
9 лет назад