• Предмет: Алгебра
  • Автор: Аноним
  • Вопрос задан 3 года назад

п а па хуамела ауем сссс апха халаха ​

Приложения:

Ответы

Ответ дал: vikaleba2
1

Объяснение:

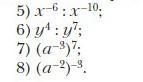
5)x⁴

6)1/y³

7)1/a²¹

8)a6

Вас заинтересует