• Предмет: Математика
  • Автор: adilau
  • Вопрос задан 3 года назад

Помогите решить пожалуйста

Приложения:

Ответы

Ответ дал: shinkristi0725
0

Ответ:

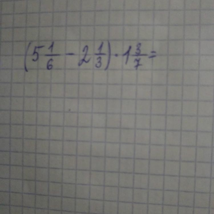
(5 1/6-2 1/3)*1 3/7=

1) 5 1/6-2 1/3=31/6-7/3=31/6-14/6=17/6

2) 17/6*1 3/7=17/6*10/7=4 1/21

Ответ дал: MatemaT123
0

Ответ:

4\frac{1}{21}

Пошаговое объяснение:

(5\frac{1}{6}-2\frac{1}{3}) \cdot 1\frac{3}{7}=(\frac{31}{6}-\frac{7}{3}) \cdot \frac{10}{7}=(\frac{31}{6}-\frac{14}{6}) \cdot \frac{10}{7}=\frac{31-14}{6} \cdot \frac{10}{7}=\frac{17}{6} \cdot \frac{10}{7}=\frac{17 \cdot 2 \cdot 5}{2 \cdot 3 \cdot 7}=

=\frac{17 \cdot 5}{3 \cdot 7}=\frac{85}{21}=4\frac{1}{21};

Вас заинтересует