• Предмет: Математика
  • Автор: wertyuiop60
  • Вопрос задан 3 года назад

помогите, Умоляююю
детально пожалуйстаа))))))​

Приложения:

Ответы

Ответ дал: pushpull
1

Ответ:

Пошаговое объяснение:

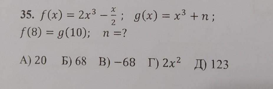
f(8) = 2*8³ - (8/2)

g(10) = 10³ +n

2*8³ - (8/2) = 10³ +n  ⇒ 2*512 -4 -1000 = n ⇒ n = 20


wertyuiop60: спасибо огромное!!!))))
pushpull: пожалуйста. успехов -))))
wertyuiop60: ))))))
Вас заинтересует