• Предмет: Алгебра
  • Автор: 0dude0
  • Вопрос задан 3 года назад

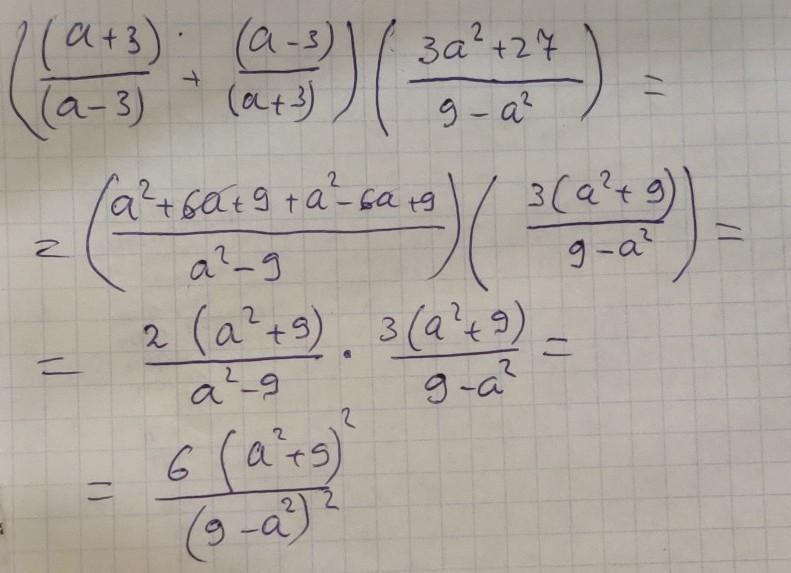
(a + 3)/(a - 3) + (a - 3)/(a + 3)) * (3a ^ 2 + 27)/(9 - a ^ 2)

Ответы

Ответ дал: pelmeshka50
0

Ответ:

Приведем верхнюю дробь к общему знаменателю (а + 3) * (а – 3):

((а + 3) / (а – 3) + (а - 3) / (а + 3)) / ((3а2 + 27) / (9 – а2)) = ((а + 3) * (а + 3) / (а – 3) * (а + 3) + (а - 3) * (а – 3) / (а + 3) * (а – 3)) / ((3а2 + 27) / (9 – а2)) = ((а + 3) * (а + 3) + (а - 3) * (а – 3)) / ((а + 3) * (а – 3)) / ((3а2 + 27) / (9 – а2)) = ((а + 3)2 + (а - 3)2) / ((а + 3) * (а – 3)) / (3 * (а2 + 9)) / (9 – а2)).

Раскроем скобки в числителе верхней дроби и используем формулу разности квадратов для ее знаменателя:

(2а2 + 18) / (а2 – 9) / (3 * (а2 + 9)) / (9 – а2)) = - 2 * (а2 + 9) / (9 - а2) * ((9 – а2) / (3 * (а2 + 9))) = - 2/3.

ОТВЕТ: -2/3.


vershitelsudeb: а что значит верхняя дробь? там ведь умножение суммы дробей на частное дробей
Ответ дал: vershitelsudeb
0

Ответ:

Решение и ответ на фото

Приложения:
Вас заинтересует