• Предмет: Математика
  • Автор: Аноним
  • Вопрос задан 3 года назад

ПОМОГИТЕ ПОЖАЛУЙСТА СРОЧНО​

Приложения:

Ответы

Ответ дал: tatsach
1

Ответ:

Пошаговое объяснение:

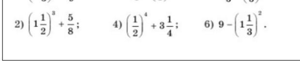
2)=(3/2)^3+5/8=27/8+5/8=32/8=

4

4)=1/16+3 1/4=1/16+3 4/16=3 5/16

6)=9-(4/3)^2=9-16/9=9-1 7/9=

7 2/9

Ответ дал: 1Ja3D
0

Ответ:

2) 4. 4) 53/16 = 3,3125. 6) 7 (2/9)

Пошаговое объяснение:

2)

Без целой дроби получится (3/2)^3. Получится 27/8. 27/8 + 5/8 = 32/8 = 4.

4) Делаем также и получится 1/16. целую дробь оставляем и умножаем до тех пор, пока знаменатель не будет 16. Получим 3 (4/16). 1/16 + 3 (4/16) = 3 (5/16) = 53/16 = 3,3125.

6) 4/3, сам понял. (4/3)^2 = 16/9. Пусть 9 = 8 (9/9), получим 81/9. 81/9 - 16/9 = 65/9 = 7 (2/9).

Вас заинтересует