• Предмет: Алгебра
  • Автор: knovteq
  • Вопрос задан 3 года назад

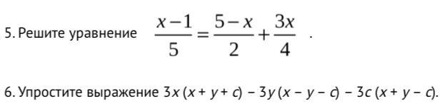
помогите пожалуйста, даю много баллов за решение, два задания

Приложения:

Ответы

Ответ дал: dkarnaval
1

Ответ:

Объяснение:

1) домножим всё уравнение на 20, получим

4(x-1)=10(5-x)+15x

4x-4=50-10x+15x

-x=54

X= -54

2)3x^2+3xy+3xc-3xy+3y^2+3yc-3xc-3yc+3c^2 = 3x^2+3y^2+3c^2

Вас заинтересует