• Предмет: Алгебра
  • Автор: kalimullin20000
  • Вопрос задан 3 года назад

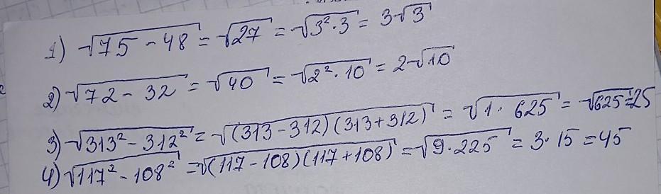
Срочно нужен ответы даю 40 баллов

Приложения:

sasukekunn: что в квадратиках
kalimullin20000: Квадраты умноженик

Ответы

Ответ дал: sasukekunn
0

Ответ:

....................

Приложения:
Ответ дал: arinarazanova13
0

...))))....)))...........))))))))....)))....

Приложения:

kalimullin20000: Ты тупой?
Вас заинтересует