• Предмет: Алгебра
  • Автор: aavakin433
  • Вопрос задан 3 года назад

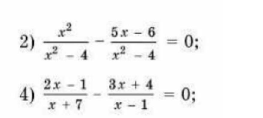
ДАМ 20 БАЛЛОВ, РЕШИТЕ 2 УРАВНЕНИЯ ​

Приложения:

Ответы

Ответ дал: anelya1524
1
второе лень решать:)
Приложения:
Вас заинтересует