• Предмет: Алгебра
  • Автор: kapvvaoomadina
  • Вопрос задан 3 года назад

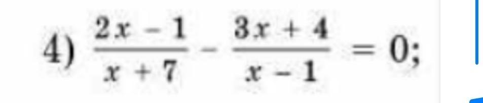
Дам 20 баллов, решите уравнение​

Приложения:

Ответы

Ответ дал: aktylala
0

Объяснение:

вот . правильно. в какому ты классе?

Приложения:

aktylala: можете помочь
aktylala: надо решить графическим способом
aktylala: {х+у=1 и у-2х=4
Вас заинтересует