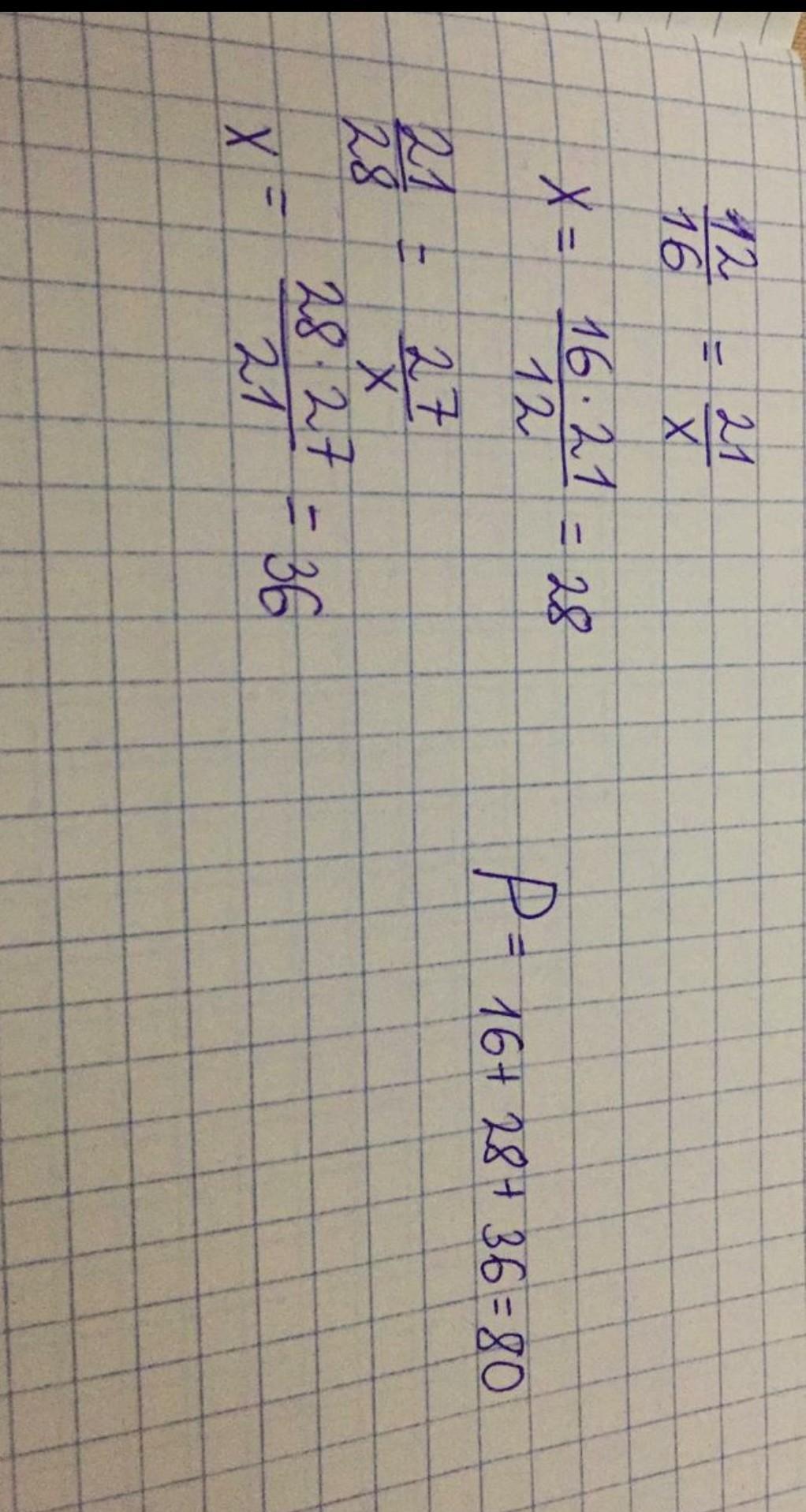
3. Чему равен периметр А1В1С1 подобного АВС, если А1В1 = 16 см, АВ = 12
см, ВС = 21 см, АС = 27см?
Ответы
Ответ дал:
3
Точно не знаю правильно ли,у нас соч и как-то так решили
Приложения:

Вас заинтересует
2 года назад
2 года назад
2 года назад
7 лет назад
9 лет назад