• Предмет: Математика
  • Автор: grinpro4445
  • Вопрос задан 3 года назад

помогите пожалуйста
пожалуйста ​

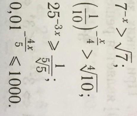
Приложения:

Ответы

Ответ дал: Аноним
0

Ответ:

Пошаговое объяснение:

7⁻ˣ>√7; 7⁻ˣ>7^(1/2); -x>1/2; x<-1/2; x<-0,5; x∈(-∞; -0,5)

(1/10)^(-x/4)>⁴√10; 10^(x/4)>10^(1/4); x/4>1/4; x>1; x∈(1; +∞)

25⁻³ˣ≥1/⁵√5; (5²)⁻³ˣ≥5^(1/5); 5⁻⁶ˣ≥5^(1/5); -6x≥1/5; x≤1/5 ·(-1/6); x≤-1/30; x∈(-∞; -1/30]

0,01^(-4x/5)≤1000; (1/10²)^(-4x/5)≤10³; 10^(8x/5)≤10³; 8x/5≤3; x≤3·5/8; x≤15/8; x≤1 7/8; x≤1,875; x∈(-∞; 1,875]

Вас заинтересует