• Предмет: Математика
  • Автор: Аноним
  • Вопрос задан 3 года назад

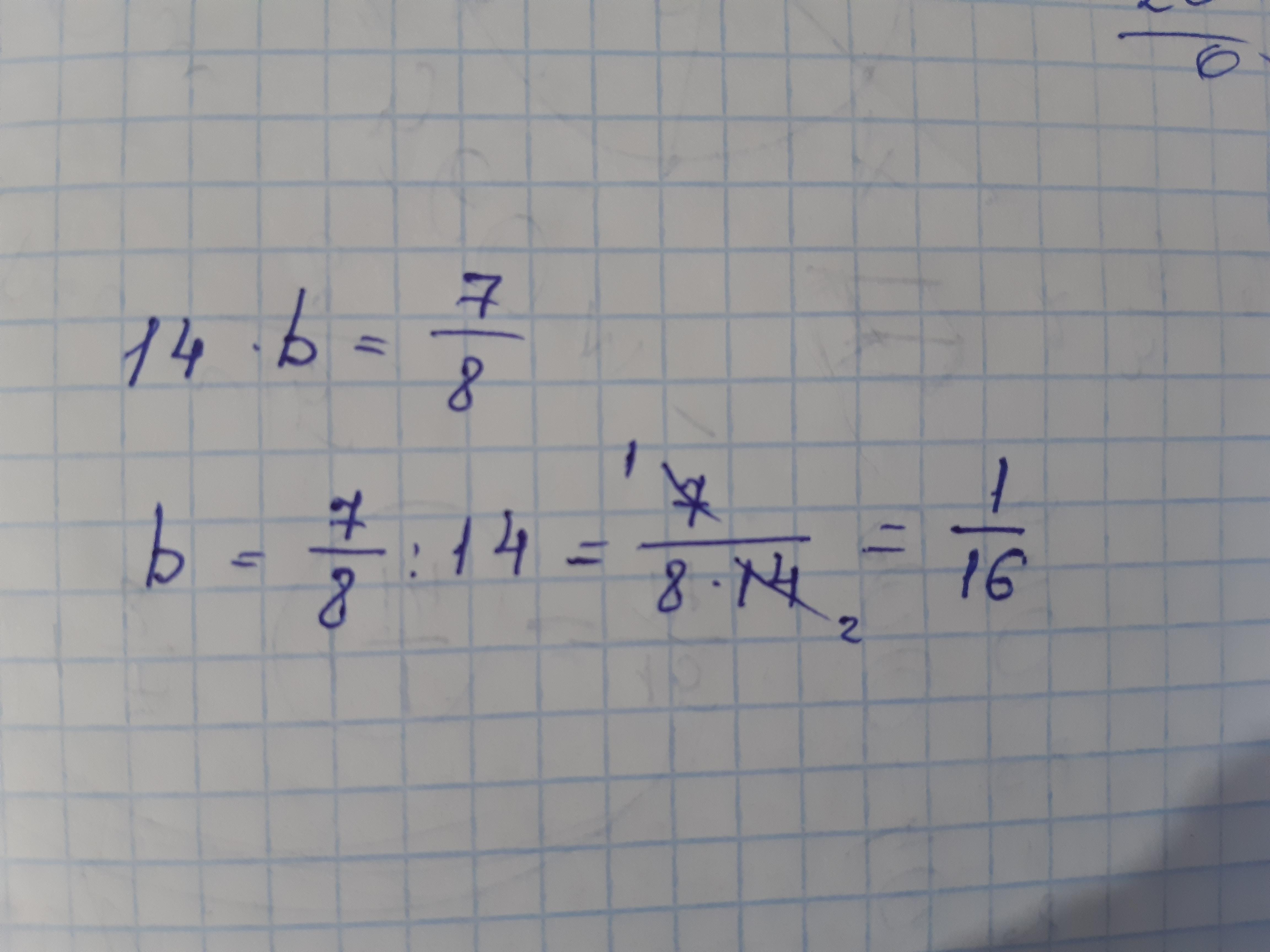
Деление обыкновенных дробей и смешанных чисел. Урок 6 Найди неизвестный множитель 14•b=7/8 решение


Аноним: памогите
daniyarkaziyev89: 1/16
yaromirpashchenko: спс
Аноним: 1/16 :/

Ответы

Ответ дал: foverlord510
37

Ответ:

1/16

Пошаговое объяснение:

Приложения:

Аноним: спасибо бро
foverlord510: пожалуйста :)
Farzanaobiad0: спс
yulyababkina09: спасибо большое ❤️
Among34939: спс брооооооооооооо
arabella13: Норм спс
Вас заинтересует