• Предмет: Математика
  • Автор: Аноним
  • Вопрос задан 3 года назад

1 13/15:1 3/5 пошаговое объяснения пж


Аноним: нууу пж помогите

Ответы

Ответ дал: zamirazzzz123
1

1 13/15:1 3/5=1 23/112

Приложения:

Аноним: пасибо
zamirazzzz123: незачто
semyonovar0509: Не правельно
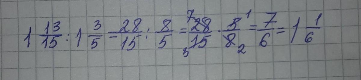
Ответ дал: QAZAQPIN
1

Ответ на картинке....

Приложения:

Аноним: спасибо огромное
semyonovar0509: Не правельно
Вас заинтересует