Ответы
Ответ дал:
1
Ответ:
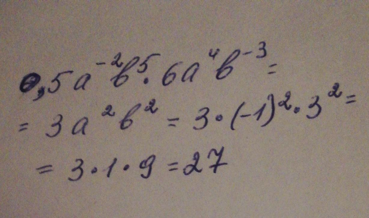
Смотри решение на фото
Приложения:

serovaksusa1:
Если что непонятно, напишите, объясню
Вас заинтересует
2 года назад
2 года назад
2 года назад
7 лет назад
7 лет назад
9 лет назад