Ответы
Ответ дал:
2
Ответ:
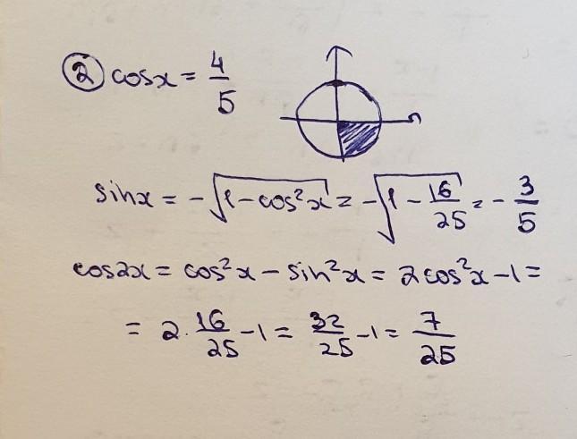
решение на фотографиях
Приложения:


AHjljeJla:
Можете помочь мне?
Вас заинтересует
2 года назад
2 года назад
2 года назад
2 года назад
7 лет назад
9 лет назад
9 лет назад