• Предмет: Алгебра
  • Автор: gaussxp6jx5k
  • Вопрос задан 3 года назад

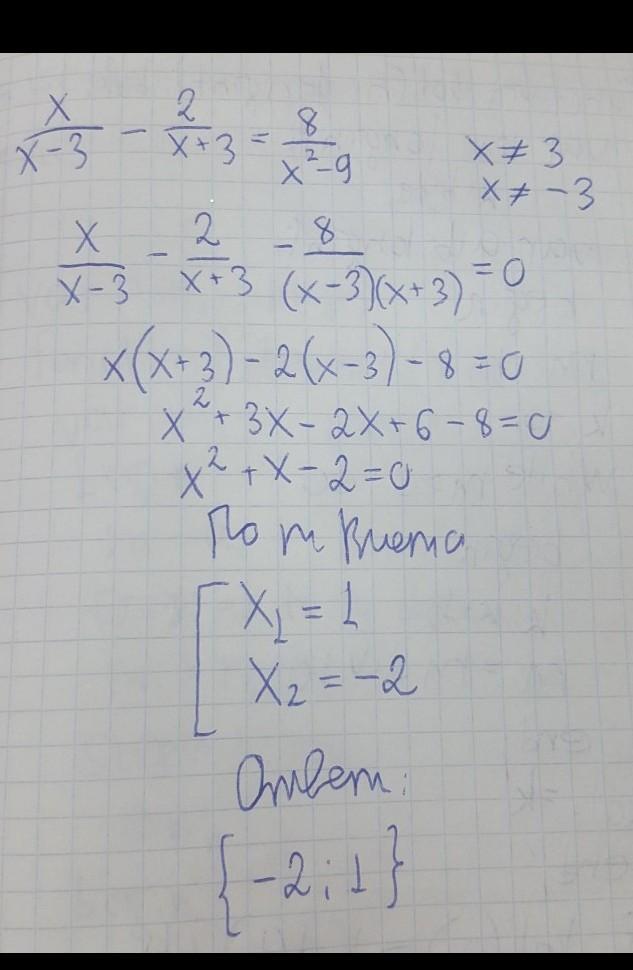
Дано уравнение x/x-3-2/x+3=8/x^2-9
а) Укажите область допустимых значений уравнения;
б) Приведите рациональное уравнение к квадратному уравнению;
в) Найдите решение рационального уравнения.
Подробнее на фото:

Приложения:

Ответы

Ответ дал: ageevaa929
48

Ответ:

ответ на картинки))

Удачиии❤

Приложения:

cherepanovkirill2007: это правильно просто я по другому решил и ответ другой
viktormocalov: спосибо за ответ но 1 минус подчерк немного непонятен
cherepanovkirill2007: норм
sulikboks: хз там написано по тиореме виета вроде
Вас заинтересует