• Предмет: Химия
  • Автор: ybyfru
  • Вопрос задан 11 лет назад

НАПИШИТЕ УРАВНЕНИЯ РЕАКЙИЙ

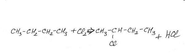
а)галогинирования 1-гексена
б)гидратайия пропена

Ответы

Ответ дал: С1ИзвековГордей
0
Ответы :
Под "а", я картинку кинул
Под "б" - CH2=CH-CH3 + H2O = CH3 - CH(OH) - CH3 2.
Приложения:
Ответ дал: ybyfru
0
спс
Вас заинтересует