• Предмет: Математика
  • Автор: inzhuka2404
  • Вопрос задан 3 года назад

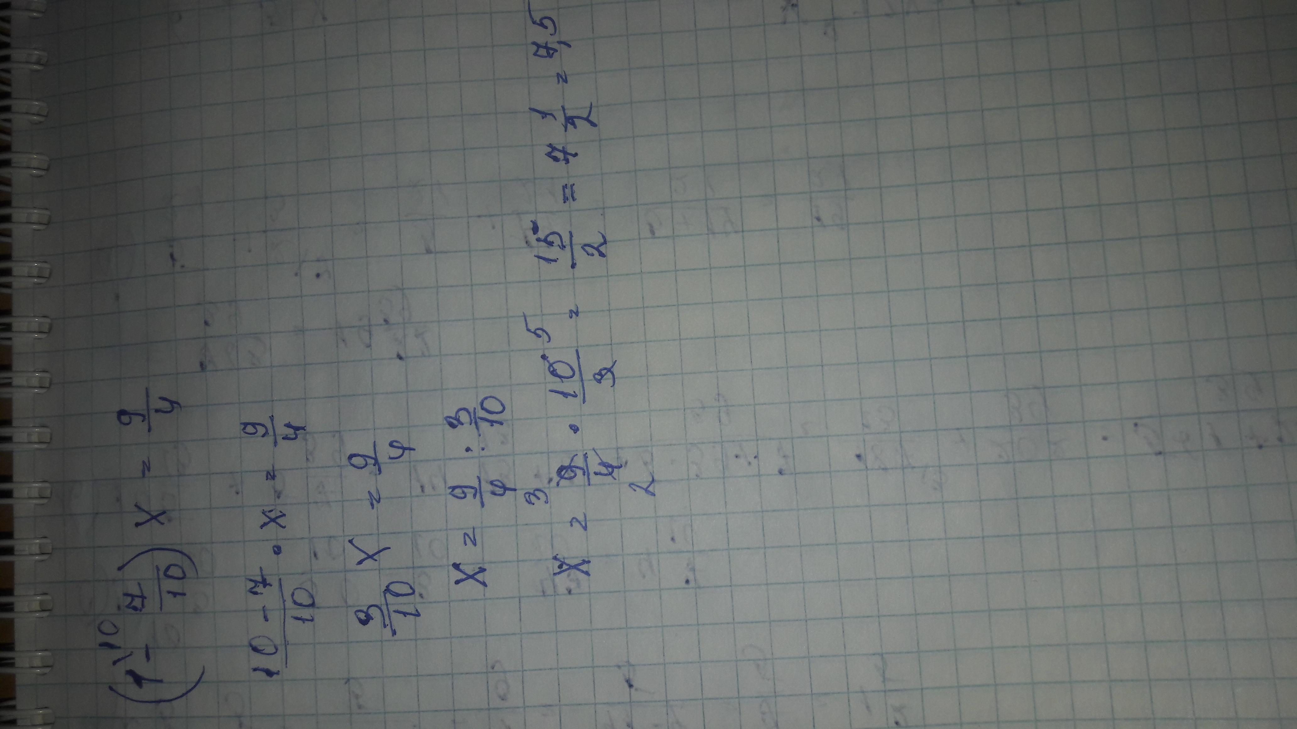
(1-7\10)*х=9\4ну пюжжжжжжжж​

Ответы

Ответ дал: tairatalgatona
0

Ответ:

Пошаговое объяснение:

Приложения:
Ответ дал: makc200707
0

Ответ: 7,5

Пошаговое объяснение:

(1-0,7) *x=2,25

0,3*x=2,25

X=2,25/0,3

Ответ 7,5

Вас заинтересует