• Предмет: Математика
  • Автор: niartur6
  • Вопрос задан 3 года назад

помогите дам 13 баллов это всё что у меня есть​

Приложения:

kurmanaruk: ммм ок

Ответы

Ответ дал: kim08an
0

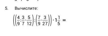
Ответ:6

решено верно

Пошаговое объяснение:

((1/9×7/3×5/3)÷(7/9×1/9))×6/5

(35/81÷7/81)×6/5

(35/81×81/7)×6/5

5×6/5=6


niartur6: там же не на 6/5 а на 1 целую 1/5
foverlord510: 1 целую 1/5 превратили в неправильную дробь
Ответ дал: kurmanaruk
0

Ответ:

будет ⁶/¹ то есть 6

Пошаговое объяснение:

ты в каком классе?

Приложения:

niartur6: в 5
kurmanaruk: мм ок
Вас заинтересует