• Предмет: Алгебра
  • Автор: sagidollaevaaknur
  • Вопрос задан 3 года назад

2 sin(x/2+pi/4)≤√2

помогитееее​

Ответы

Ответ дал: rkmini454
1

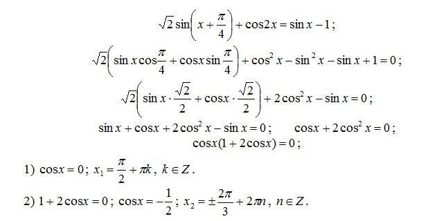
Ответ:

Объяснение:

точна не знаю может быть правильна

Приложения:
Вас заинтересует