• Предмет: Математика
  • Автор: Аноним
  • Вопрос задан 3 года назад

5 кл матем срочно помогите

Приложения:

zapbarhank09: ровно =38

Ответы

Ответ дал: erbajsamir33
0

Ответ:

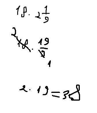
32 1/9 так будит 10000000


Аноним: Пошагово плиз
Аноним: 18 и 9 сокращаем на 9
Аноним: Получается 2×2
Аноним: Итого ответ: 4
Ответ дал: dastovforcs
0

Ответ:

38

Пошаговое объяснение:

Приложения:
Вас заинтересует