• Предмет: Математика
  • Автор: Аноним
  • Вопрос задан 3 года назад

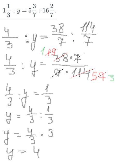
Реши уравнение помогите пожалуйста​

Приложения:

Ответы

Ответ дал: lakOR555
0

Ответ:

у = 4

Пошаговое объяснение:

см фото

Приложения:
Вас заинтересует