• Предмет: Математика
  • Автор: alinasofiya0503
  • Вопрос задан 3 года назад

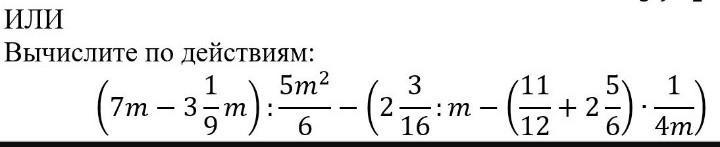
(7m-3 1/9m):5m2/6-(2 3/16:m-(11/12+2 5/6)*1/4m) решите пожалуйста​

Приложения:

Ответы

Ответ дал: Аноним
0

Ответ:

Пошаговое объяснение:

(7m-3 1/9 m) ÷(5m²)/6 -(2 3/16 ÷m-(11/12 +2 5/6)·1/(4m))=41/(12m)

1) 7m-3 1/9 m=m(63/9 -28/9)=(35m)/9

2) (35m)/9 ÷(5m²)/6=(35m)/9 ·6/(5m²)=7/3 ·2/m=14/(3m)

3) 2 3/16 ÷m=35/16 ·1/m=35/(16m)

4) 11/12 +2 5/6=11/12 +34/12=45/12=15/4

5) 15/4 ·1/(4m)=15/(16m)

6) 35/(16m) -15/(16m)=20/(16m)=5/(4m)

7) 14/(3m) -5/(4m)=56/(12m) -15/(12m)=41/(12m)

Вас заинтересует