• Предмет: Алгебра
  • Автор: MaximMoper
  • Вопрос задан 3 года назад

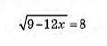
Найдите ОДЗ уравнения:

Приложения:

Ответы

Ответ дал: BFZ
1

Ответ:

9 - 12x \geqslant 0 \\ x  \leqslant  \frac{3 }{4}

это будет ОДЗ

Вас заинтересует