• Предмет: Математика
  • Автор: Stonyy
  • Вопрос задан 3 года назад

Тюленю нужно помощь- I need help

Приложения:

Ответы

Ответ дал: AnkaPomogalka
1

Решение:

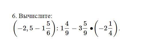
(-2,5-1 5/6):1 4/9-3 5/9 * (-2 1/4) = (-5/2-11/6):13/9-32/9 * (-9/4) = -13/3 * 9/13 + 8 = -3 + 8 = 5.

Ответ: 5.

Вас заинтересует