• Предмет: Математика
  • Автор: adelaisaeva2010
  • Вопрос задан 3 года назад

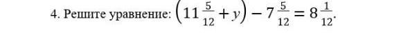
4. Решите уравнение: 11512+у-7512=8112​

Приложения:

Ответы

Ответ дал: littleboyakkaynt
0

Расскрываем скобки:

11 5/12 +y -7 5/12=8 1/2

приводим подобные слагаемые:

4+y=8 1/2

переносим:

y=8 1/2-4

y=4 1/2

Ответ:4 1/2

Вас заинтересует