• Предмет: Математика
  • Автор: togzhantursinbekova
  • Вопрос задан 3 года назад

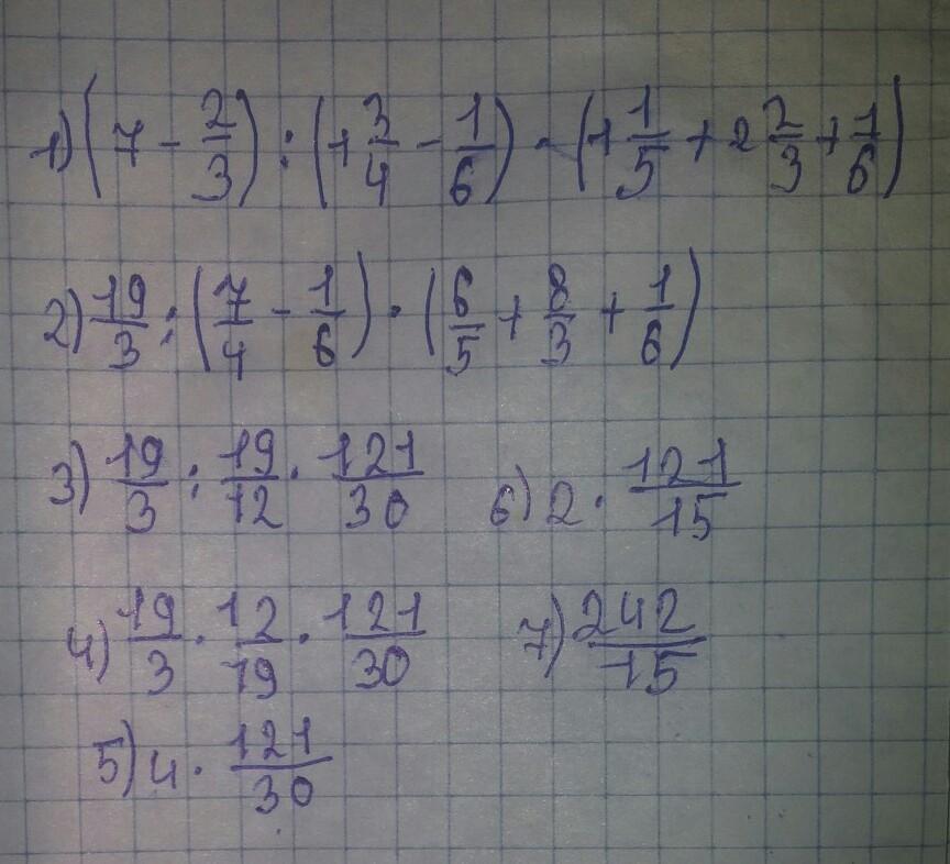
(7- 2/3)÷(1 3/4-1/6)×(1 1/5+2 2/3 +1/6)=​

Ответы

Ответ дал: deadpool3667
1

Ответ:

Вот. Всё на фотографии

Пошаговое объяснение:

Я в математике ас.

Если будут вопросы подпишись я буду помогать

Приложения:

togzhantursinbekova: спасибо уже не надо
togzhantursinbekova: подписалась
Вас заинтересует