Ответы
Ответ дал:
1
Ответ:
вроде так
Объяснение:
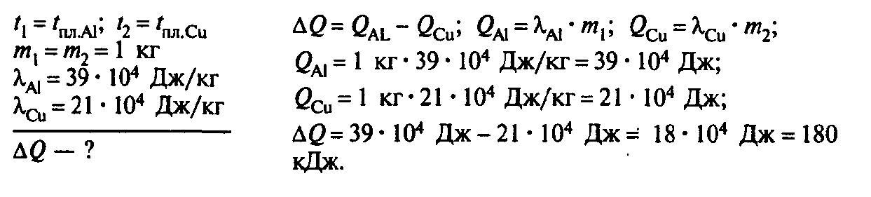
Приложения:

Вас заинтересует
2 года назад
2 года назад
2 года назад
7 лет назад
7 лет назад
9 лет назад