• Предмет: Алгебра
  • Автор: xDanielAngelx
  • Вопрос задан 3 года назад

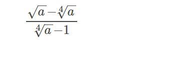
Сократите дробьььььььь

Приложения:

Ответы

Ответ дал: MatemaT123
1

Ответ:

\sqrt[4]{a}

Объяснение:

\frac{\sqrt{a}-\sqrt[4]{a}}{\sqrt[4]{a}-1}=\frac{a^{\frac{1}{2}}-a^{\frac{1}{4}}}{a^{\frac{1}{4}}-1}=\frac{a^{\frac{2}{4}}-a^{\frac{1}{4}}}{a^{\frac{1}{4}}-1}=\frac{a^{\frac{1}{4}} \cdot (a^{\frac{1}{4}}-1)}{a^{\frac{1}{4}}-1}=a^{\frac{1}{4}}=\sqrt[4]{a};


xDanielAngelx: Спасибо огромное)
Вас заинтересует