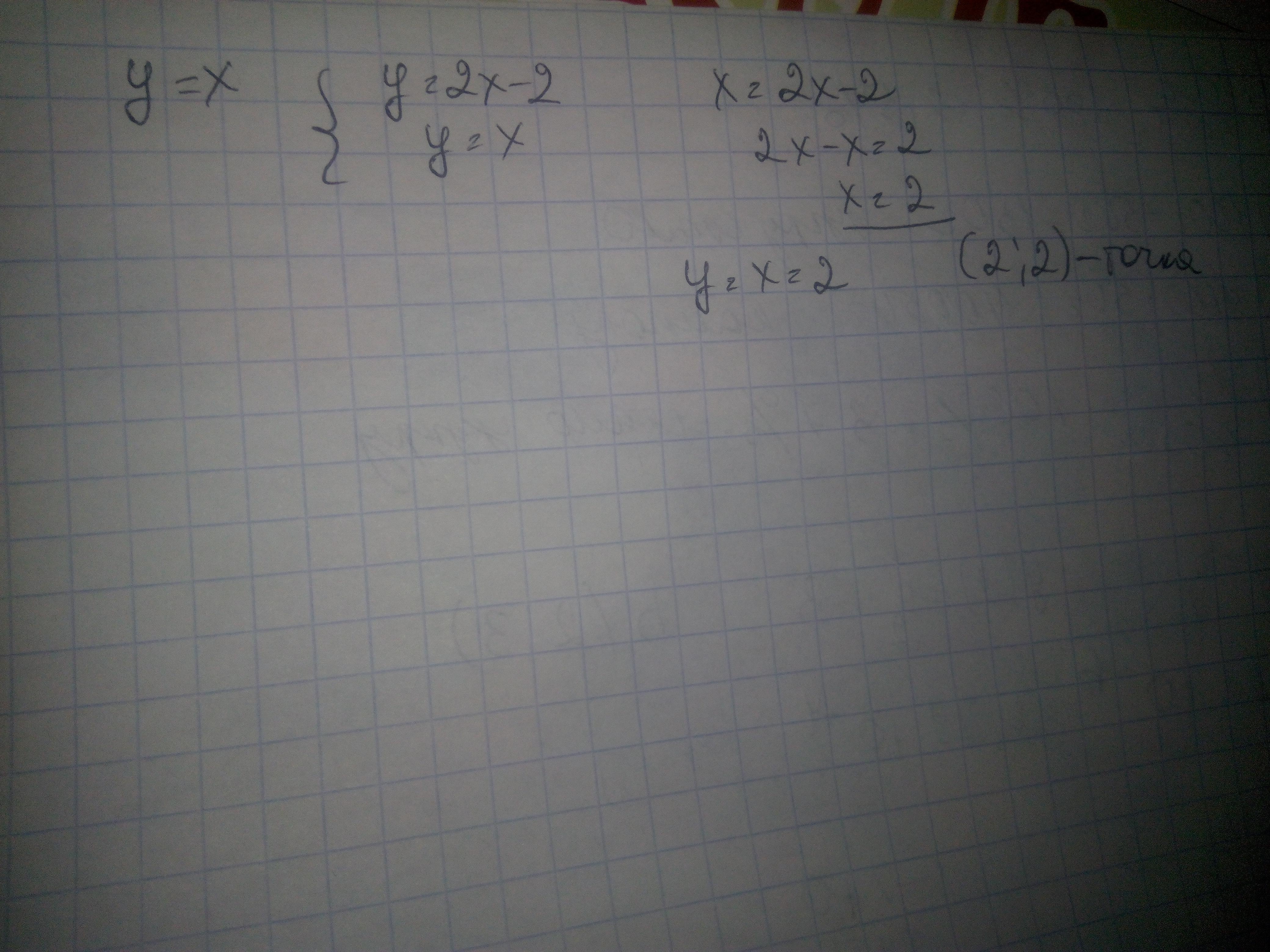
Найди точку графика линейной функции y=2x−2, абсцисса которой равна ординате.
Ответ:
координаты точки ( ; ).
Ответы
Ответ дал:
2
Ответ:фото
Объяснение:
Приложения:
Вас заинтересует
2 года назад
2 года назад
3 года назад
3 года назад
8 лет назад
8 лет назад
9 лет назад
9 лет назад