Ответы
Ответ дал:
0
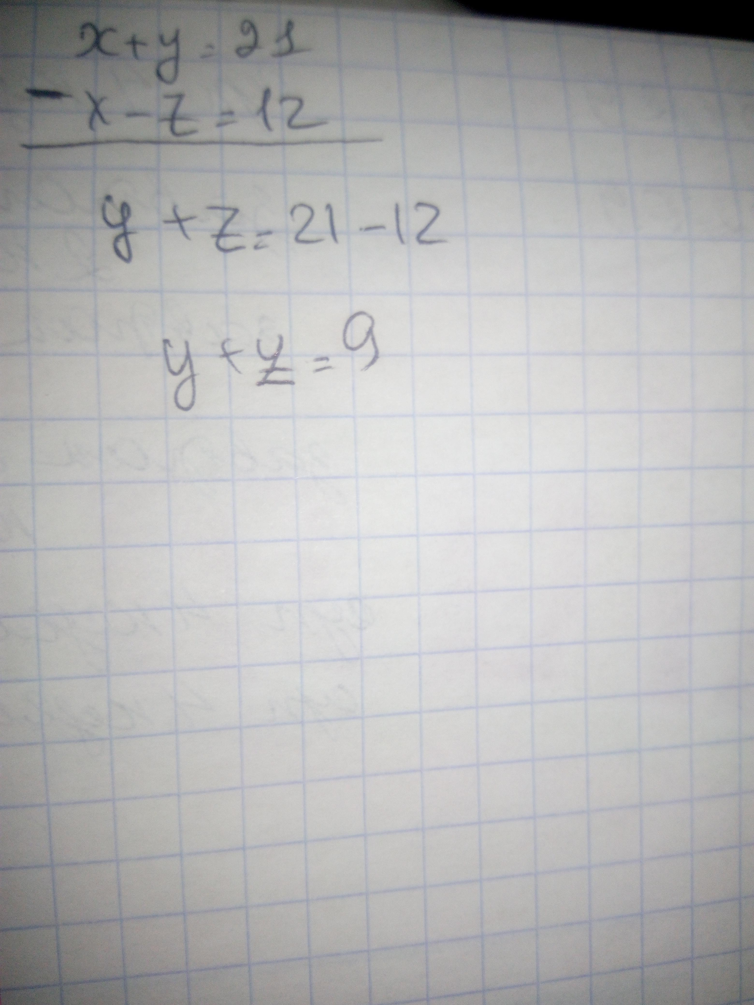
Ответ:=9
Объяснение:фото
Приложения:

mahliepazilova50:
Спасибо
Вас заинтересует
2 года назад
2 года назад
2 года назад
7 лет назад
7 лет назад